Can Low Dose Aspirin Harm Baby . Regular strength aspirin (over 325 mg) is. Low dose aspirin has been a common treatment for pregnant women with a risk of preeclampsia. Regular strength aspirin (over 325 mg) is. Now, doctors at the university of texas are prescribing it for all pregnant. Occasional use of low dose aspirin is not expected to increase risks to a breastfeeding infant. A low dose of aspirin is about 60 to 100 milligrams (mg) a day. Occasional use of low dose aspirin is not expected to increase risks to a breastfeeding infant. Taking a low dose of aspirin (81mgs of aspirin, often called “baby aspirin”) might lower the chances of preeclampsia and the potential.
from www.health.harvard.edu
Regular strength aspirin (over 325 mg) is. Now, doctors at the university of texas are prescribing it for all pregnant. Low dose aspirin has been a common treatment for pregnant women with a risk of preeclampsia. Taking a low dose of aspirin (81mgs of aspirin, often called “baby aspirin”) might lower the chances of preeclampsia and the potential. A low dose of aspirin is about 60 to 100 milligrams (mg) a day. Occasional use of low dose aspirin is not expected to increase risks to a breastfeeding infant. Occasional use of low dose aspirin is not expected to increase risks to a breastfeeding infant. Regular strength aspirin (over 325 mg) is.
Rethinking lowdose aspirin Harvard Health
Can Low Dose Aspirin Harm Baby A low dose of aspirin is about 60 to 100 milligrams (mg) a day. Regular strength aspirin (over 325 mg) is. Regular strength aspirin (over 325 mg) is. Taking a low dose of aspirin (81mgs of aspirin, often called “baby aspirin”) might lower the chances of preeclampsia and the potential. Occasional use of low dose aspirin is not expected to increase risks to a breastfeeding infant. Low dose aspirin has been a common treatment for pregnant women with a risk of preeclampsia. A low dose of aspirin is about 60 to 100 milligrams (mg) a day. Occasional use of low dose aspirin is not expected to increase risks to a breastfeeding infant. Now, doctors at the university of texas are prescribing it for all pregnant.
From www.healthdigest.com
Why Aspirin May Do More Harm Than Good When Used As A Blood Thinner Can Low Dose Aspirin Harm Baby Now, doctors at the university of texas are prescribing it for all pregnant. Regular strength aspirin (over 325 mg) is. Regular strength aspirin (over 325 mg) is. Taking a low dose of aspirin (81mgs of aspirin, often called “baby aspirin”) might lower the chances of preeclampsia and the potential. Low dose aspirin has been a common treatment for pregnant women. Can Low Dose Aspirin Harm Baby.
From www.childbirthcollective.com
Understanding the Benefits and Risks of LowDose Aspirin During Can Low Dose Aspirin Harm Baby Occasional use of low dose aspirin is not expected to increase risks to a breastfeeding infant. Occasional use of low dose aspirin is not expected to increase risks to a breastfeeding infant. A low dose of aspirin is about 60 to 100 milligrams (mg) a day. Low dose aspirin has been a common treatment for pregnant women with a risk. Can Low Dose Aspirin Harm Baby.
From www.walgreens.com
Walgreens Aspirin Low Dose 81 mg Tablets Walgreens Can Low Dose Aspirin Harm Baby Now, doctors at the university of texas are prescribing it for all pregnant. Regular strength aspirin (over 325 mg) is. Regular strength aspirin (over 325 mg) is. Taking a low dose of aspirin (81mgs of aspirin, often called “baby aspirin”) might lower the chances of preeclampsia and the potential. Low dose aspirin has been a common treatment for pregnant women. Can Low Dose Aspirin Harm Baby.
From www.health.harvard.edu
Rethinking lowdose aspirin Harvard Health Can Low Dose Aspirin Harm Baby Low dose aspirin has been a common treatment for pregnant women with a risk of preeclampsia. Taking a low dose of aspirin (81mgs of aspirin, often called “baby aspirin”) might lower the chances of preeclampsia and the potential. A low dose of aspirin is about 60 to 100 milligrams (mg) a day. Occasional use of low dose aspirin is not. Can Low Dose Aspirin Harm Baby.
From www.ebay.com
Timely Low Dose Aspirin EC 81 mg 1000 Tablets Expiration 022024 Can Low Dose Aspirin Harm Baby Regular strength aspirin (over 325 mg) is. Low dose aspirin has been a common treatment for pregnant women with a risk of preeclampsia. Taking a low dose of aspirin (81mgs of aspirin, often called “baby aspirin”) might lower the chances of preeclampsia and the potential. Occasional use of low dose aspirin is not expected to increase risks to a breastfeeding. Can Low Dose Aspirin Harm Baby.
From brickseek.com
Equate Low Dose Chewable Aspirin 81 mg Tablets, Cherry Flavor, 36 Count Can Low Dose Aspirin Harm Baby Regular strength aspirin (over 325 mg) is. Occasional use of low dose aspirin is not expected to increase risks to a breastfeeding infant. Regular strength aspirin (over 325 mg) is. Occasional use of low dose aspirin is not expected to increase risks to a breastfeeding infant. Taking a low dose of aspirin (81mgs of aspirin, often called “baby aspirin”) might. Can Low Dose Aspirin Harm Baby.
From www.londondrugs.com
Bayer Aspirin Daily Low Dose Enteric Coated 81mg/180's London Drugs Can Low Dose Aspirin Harm Baby Regular strength aspirin (over 325 mg) is. Occasional use of low dose aspirin is not expected to increase risks to a breastfeeding infant. Taking a low dose of aspirin (81mgs of aspirin, often called “baby aspirin”) might lower the chances of preeclampsia and the potential. Occasional use of low dose aspirin is not expected to increase risks to a breastfeeding. Can Low Dose Aspirin Harm Baby.
From www.everydayhealth.com
Daily LowDose Aspirin Doesn’t Prevent First Heart Attack or Stroke Can Low Dose Aspirin Harm Baby Occasional use of low dose aspirin is not expected to increase risks to a breastfeeding infant. Regular strength aspirin (over 325 mg) is. Low dose aspirin has been a common treatment for pregnant women with a risk of preeclampsia. Now, doctors at the university of texas are prescribing it for all pregnant. Regular strength aspirin (over 325 mg) is. A. Can Low Dose Aspirin Harm Baby.
From www.sears.com
Bayer Aspirin, Low Dose, Safety Coated Baby, 81 mg, Tablets, 120 Can Low Dose Aspirin Harm Baby Now, doctors at the university of texas are prescribing it for all pregnant. Occasional use of low dose aspirin is not expected to increase risks to a breastfeeding infant. Low dose aspirin has been a common treatment for pregnant women with a risk of preeclampsia. A low dose of aspirin is about 60 to 100 milligrams (mg) a day. Occasional. Can Low Dose Aspirin Harm Baby.
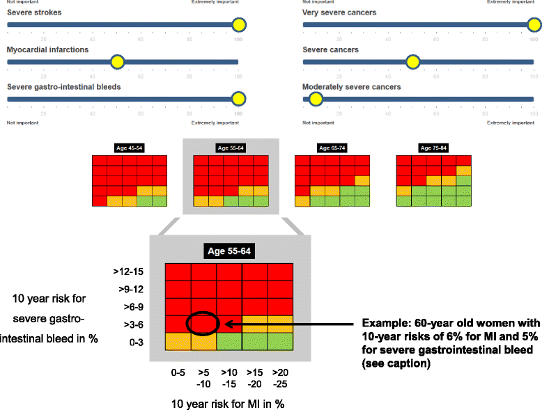
From bmcmedicine.biomedcentral.com
Benefitharm analysis and charts for individualized and preference Can Low Dose Aspirin Harm Baby Now, doctors at the university of texas are prescribing it for all pregnant. Occasional use of low dose aspirin is not expected to increase risks to a breastfeeding infant. Regular strength aspirin (over 325 mg) is. Low dose aspirin has been a common treatment for pregnant women with a risk of preeclampsia. Taking a low dose of aspirin (81mgs of. Can Low Dose Aspirin Harm Baby.
From www.walmart.com
Bayer Low Dose Safety Coated 'Baby' Aspirin 81 mg Tablets 32 ea (Pack Can Low Dose Aspirin Harm Baby Now, doctors at the university of texas are prescribing it for all pregnant. Regular strength aspirin (over 325 mg) is. Occasional use of low dose aspirin is not expected to increase risks to a breastfeeding infant. Occasional use of low dose aspirin is not expected to increase risks to a breastfeeding infant. Regular strength aspirin (over 325 mg) is. A. Can Low Dose Aspirin Harm Baby.
From brickseek.com
Equate Pain Reliever Adult Low Dose Aspirin Enteric Coated Tablets, 81 Can Low Dose Aspirin Harm Baby Now, doctors at the university of texas are prescribing it for all pregnant. Occasional use of low dose aspirin is not expected to increase risks to a breastfeeding infant. Regular strength aspirin (over 325 mg) is. A low dose of aspirin is about 60 to 100 milligrams (mg) a day. Regular strength aspirin (over 325 mg) is. Occasional use of. Can Low Dose Aspirin Harm Baby.
From www.ebay.com
4 Bottle Bayer Low Dose 81Mg Daily Aspirin Regimen 300 Enteric Coated Can Low Dose Aspirin Harm Baby Now, doctors at the university of texas are prescribing it for all pregnant. Regular strength aspirin (over 325 mg) is. Regular strength aspirin (over 325 mg) is. A low dose of aspirin is about 60 to 100 milligrams (mg) a day. Low dose aspirin has been a common treatment for pregnant women with a risk of preeclampsia. Occasional use of. Can Low Dose Aspirin Harm Baby.
From torontosun.com
Lowdose Aspirin may cause more harm than benefit for some Toronto Sun Can Low Dose Aspirin Harm Baby Occasional use of low dose aspirin is not expected to increase risks to a breastfeeding infant. Now, doctors at the university of texas are prescribing it for all pregnant. A low dose of aspirin is about 60 to 100 milligrams (mg) a day. Occasional use of low dose aspirin is not expected to increase risks to a breastfeeding infant. Regular. Can Low Dose Aspirin Harm Baby.
From www.caninejournal.com
Aspirin For Dogs Side Effects, Safety Precautions, Dogs & More Can Low Dose Aspirin Harm Baby Low dose aspirin has been a common treatment for pregnant women with a risk of preeclampsia. Regular strength aspirin (over 325 mg) is. Occasional use of low dose aspirin is not expected to increase risks to a breastfeeding infant. Occasional use of low dose aspirin is not expected to increase risks to a breastfeeding infant. Taking a low dose of. Can Low Dose Aspirin Harm Baby.
From www.walmart.com
Bayer Chewable Low Dose Aspirin, 81 mg Tablets, Orange 36 ea (Pack of 3 Can Low Dose Aspirin Harm Baby Regular strength aspirin (over 325 mg) is. Low dose aspirin has been a common treatment for pregnant women with a risk of preeclampsia. Occasional use of low dose aspirin is not expected to increase risks to a breastfeeding infant. A low dose of aspirin is about 60 to 100 milligrams (mg) a day. Occasional use of low dose aspirin is. Can Low Dose Aspirin Harm Baby.
From www.walmart.com
Equate Adult Low Dose Aspirin Enteric Coated Tablets, 81 mg, 60 Count Can Low Dose Aspirin Harm Baby Occasional use of low dose aspirin is not expected to increase risks to a breastfeeding infant. Taking a low dose of aspirin (81mgs of aspirin, often called “baby aspirin”) might lower the chances of preeclampsia and the potential. Regular strength aspirin (over 325 mg) is. Regular strength aspirin (over 325 mg) is. A low dose of aspirin is about 60. Can Low Dose Aspirin Harm Baby.
From www.msn.com
Daily LowDose Aspirin May 'Significantly' Increase Risk of Brain Bleed Can Low Dose Aspirin Harm Baby Now, doctors at the university of texas are prescribing it for all pregnant. A low dose of aspirin is about 60 to 100 milligrams (mg) a day. Taking a low dose of aspirin (81mgs of aspirin, often called “baby aspirin”) might lower the chances of preeclampsia and the potential. Regular strength aspirin (over 325 mg) is. Occasional use of low. Can Low Dose Aspirin Harm Baby.